cellZscope systems
are the ideal tools for studying epithelial or endothelial cells in vitro.
cellZscope systems allow automated, long-term monitoring experiments with up to 96 different cell cultures simultaneously. The transepithelial/transendothelial electrical resistance (TEER) and optionally the capacitance (Ccl) of various types of barrier-forming cells cultured on permeable membranes can be analyzed in real-time. The cellZscope is easy to operate and has a broad range of possible applications.
Impedance Based Cell Monitoring – From Short-Term Tight Junction (TJ) Dynamics To Long-Term Layer Formation

Topics:
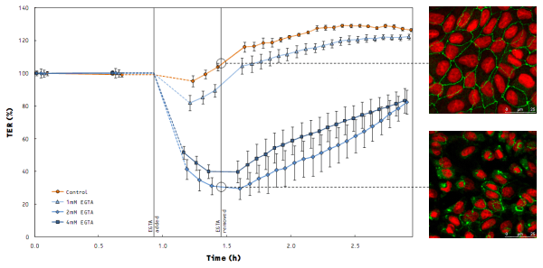
- Influence of different concentrations of EGTA on the tight junction network (TEER) of Madin-Darby canine kidney (MDCK) cells.
- Control of layer formation and differentiation of Caco-2 cells over several weeks.
Monitoring Barrier Properties of MDCK Cell Layers During Depletion of Cell Cholesterol by MBCD

Topics:
- Monitoring of the junction formation of Madin-Darby canine kidney (MDCK) cells.
- Dose dependent response of barrier (TEER) and cell layer capacitance Ccl on MBCD.
Studying Compound Mediated Effects on Cultured Primary Endothelial and Epithelial Cells

Topics:
- Barrier of cultured primary endothelial cells derived from porcine brain microvessels dependent on the presence of hydrocortisone.
- Influence of serum on the cell layer morphology of cultured primary epithelial cells derived from porcine choroid plexus.
Measuring TEER — A Comparative Study: cellZscope vs. Handheld Devices With “Chopstick” Electrodes

Topics:
- Automated and continious measurement of the TEER with the cellZscope compared to taking single measuring points with a hand-held device.
- Advantages of a non-interfering measurement in the incubator compared to disruptive influences during manual handling.
Monitoring of Fast Processes - Dose-Dependet Response of MDCK-I Cell Layers to the Addition of Saponin

Topics:
- Cell membrane lysis (MDCK-I) due to different concentrations of Saponin.
- Monitoring of fast processes with the cellZscope3.